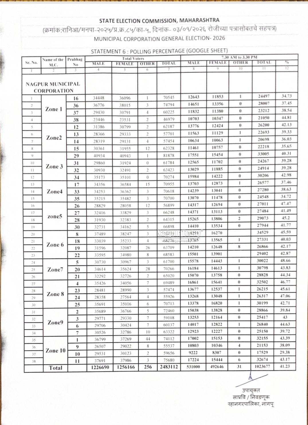
Nagpur witnessed uneven voter participation across wards as polling data released by the State Election Commission till 3:30 pm revealed sharp contrasts in turnout during the ongoing Nagpur Municipal Corporation elections.
According to the official figures, Prabhag 22 emerged as the most polled ward, registering the highest voter turnout at around 48.66 per cent by the afternoon. Several other prabhags also reported relatively strong participation, crossing the 45 per cent mark, indicating steady voter engagement in parts of the city.
In contrast, Prabhag 10 recorded the lowest polling, with turnout at approximately 29.38 per cent, significantly below the city average. A few other wards remained in the 30–35 per cent range, reflecting comparatively subdued voter response.
Overall, Nagpur city recorded an average polling of about 41.23 per cent till 3:30 pm, as voters cast their ballots to elect 151 corporators across 38 multi-member wards. Election authorities have once again urged citizens to make use of the remaining polling hours and participate in large numbers to strengthen the democratic process.
Polling is scheduled to continue till 5:30 pm, while counting of votes will take place on January 16, which will decide the political future of the Orange City’s civic body.










